ارسال نظر آزاد است، اما اگر قبلا در بیانثبت نام کرده اید می توانید ابتدا وارد شوید.
امیدواریم بتونیم با قرار دادن انواع مطالب درسی ، قدمی بسیار کوچیک برای شکوفایی دانشجویان ایران زمین برداریم. لحظات شاد و پرباری رو برای شما آرزو مندیم.
تازه ترین خبرها
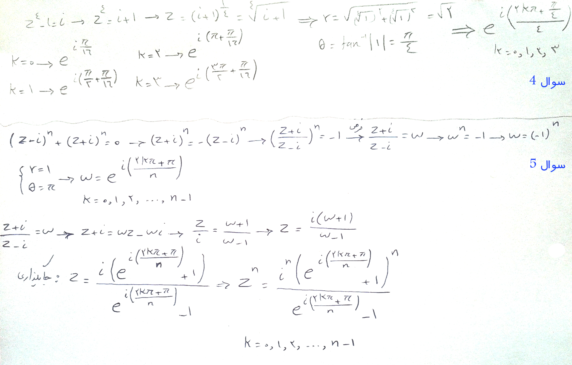
✅ پاسخ سوالات سری دوم روی وبلاگ قرار گرفت.
✅ فایل word جزوات تابع ،متغیر،آرایه و اشاره گر روی وبلاگ قرار گرفت.
سوال اول رو حل کردین خودتون؟